基于粒径分布曲线的非饱和砂土土水特征曲线概率预测模型

    PROBABILISTIC PREDICTION OF SOIL WATER CHARACTERISTIC CURVE OF UNSATURATED SAND BASED ON PARTICLE SIZE DISTRIBU-TION

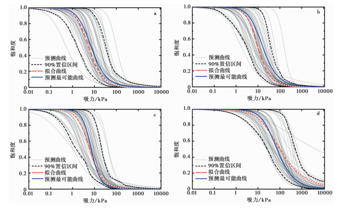
    • 摘要: 土水特征曲线定义了非饱和土的基质吸力和含水量之间的关系,与非饱和土的渗流和强度等特征有密切关系。本文通过对100组砂土的粒径分布曲线和土水特征曲线进行分析,结合常用的VG模型提出了基于粒径分布曲线的非饱和砂土土水特征曲线概率预测方法,并基于另外30组数据对提出的模型进行了验证。研究表明,基于粒径分布曲线无法唯一确定土体的土水特征曲线。与已有方法相比,提出的方法不但可以预测土水特征曲线的最可能位置,还可以预测土水特征曲线的变异性范围,由此可考虑基于粒径分布曲线对土水特征曲线进行估算时存在的模型误差。

       

      Abstract: The soil water characteristic curve(SWCC) of an unsaturated soil defines the relationship between the matrix suction and the water content. It is closely related to the permeability and shear strength of unsaturated soils. In this paper, based on statistical analyses of the soil water characteristic curves(SWCCs) and particle size distributions(PSDs) of 100 sand samples, a probabilistic method is suggested to predict the SWCC based on PSD through the commonly used VG model. The validity of the developed model is then assessed through 30 sets of independent data. Results from this study show that SWCC cannot be uniquely determined based on PSD. Compared with the existing methods, the proposed method can not only predict the most probable SWCC, but also the variability of the SWCC such that the error associated with the prediction model can be explicitly considered.

       

    /

    返回文章
    返回