column
    DISCOVERY AND EXPLANATION OF ONE MUDDY GIRDLE UNDER SHARP TURN OF ONE RIDGE—A CASE STUDY AT THE CSNS SITE OF GUANGDONG PROVINCE
    SHANG Yanjun, WEI Siyu, JIN Weijun, LIN Daming, YANG Peng
    2018, 26(3): 561-571. DOI: 10.13544/j.cnki.jeg.2017-045
    Abstract PDF
    DEVELOPMENT OF THE GRANITE MICROCRACKS IN BAYANNUOERGONG, ALXA, INNER MONGOLIA
    DONG Yanhui, SONG Fan, ZHOU Pengpeng, WANG Liheng, WEI Yaqiang, TONG Shaoqing, DUAN Ruiqi
    2018, 26(3): 572-582. DOI: 10.13544/j.cnki.jeg.2017-146
    Abstract PDF
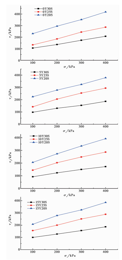
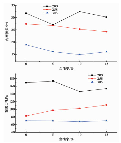
    DIRECT SHEAR TESTS FOR MECHANICAL PROPERTIES OF RED CLAY REMOLDED WITH DIESEL OIL POLLUTION
    CHEN Xuejun, TAN Libo, BAI Hanying, HUANG Xiang
    2018, 26(3): 583-591. DOI: 10.13544/j.cnki.jeg.2016-472
    Abstract PDF
    CORRELATIVE ANALYSIS BETWEEN VARIATION LEVEL OF SOIL STRENGTH PARAMETERS AND INFLUENCING FACTORS
    ZHAO Jing, JIANG Liangwei, LUO Qiang, ZHANG Wensheng, WU Xingzheng
    2018, 26(3): 592-601. DOI: 10.13544/j.cnki.jeg.2017-022
    Abstract PDF
    ENERGY CHARACTERISTICS OF BRITTLE FAILURE OF GRANITE ROCK BRIDGE UNDER UNLOADING COMPRESSION
    CHEN Guoqing, JIAN Dahua, XU Peng, ZHAO Cong, LIU Hui
    2018, 26(3): 602-610. DOI: 10.13544/j.cnki.jeg.2017-114
    Abstract PDF
    EXPERIMENTAL STUDY ON CRACKING CHARACTERISTICS OF CONCRETION SANDSTONE WITH FREEZING-THAWING CYCLES
    WANG Laigui, DING Shengpeng, HE Huijuan, YANG Jianlin
    2018, 26(3): 611-619. DOI: 10.13544/j.cnki.jeg.2017-143
    Abstract PDF
    EXPERIMENTAL STUDY OF UNSATURATED PERMEABILITY OF CHENGDU CLAY BY INSTANTANEOUS PROFILE METHOD
    ZHAO Mengyi, XIE Qiang, GUO Yongchun, YANG Yifan
    2018, 26(3): 620-625. DOI: 10.13544/j.cnki.jeg.2017-177
    Abstract PDF
    EXPERIMENTAL STUDY ON INFLUENCING FACTORS OF SHEAR STRENGTH OF SATURATED REMOLDED LOESS
    LI Wei, ZHUANG Jianqi, WANG Ying
    2018, 26(3): 626-632. DOI: 10.13544/j.cnki.jeg.2017-214
    Abstract PDF
    EXPERIMENTAL STUDY ON SOIL-WATER CHARACTERISTIC CURVE OF AEOLIAN SOIL ROADBED IN WESTERN LIAONING PROVINCE
    JIA Baoxin, WANG He, ZHOU Linli, LI Zhiyong
    2018, 26(3): 633-638. DOI: 10.13544/j.cnki.jeg.2017-264
    Abstract PDF
    COMPARATIVE ANALYSIS OF CREEP SHEAR BEHAVIOR OF COHESIVE SOIL UNDER DIFFERENT STATES
    JIANG Xiuzi, WEN Baoping, ZHANG Mimi, ZHANG Yafang, SU Jie, CHEN Lin
    2018, 26(3): 639-646. DOI: 10.13544/j.cnki.jeg.2017-275
    Abstract PDF
    TRIAXIAL TESTS FOR DYNAMIC CHARACTERISTICS OF THE BEDDING FAULT MATERIAL WITHIN BASAL LAYER OF DAGUANGBAO LANDSLIDE
    ZHU Ling, PEI Xiangjun, CUI Shenghua, MENG Xiangrui
    2018, 26(3): 647-654. DOI: 10.13544/j.cnki.jeg.2017-225
    Abstract PDF
    EFFECT OF RAINFALL TO THE STABILITY OF ICE WATER ACCUMULATION OF THE HUANXIPO
    FENG Wenkai, ZHOU Qiang, BAI Huilin, CHEN Zhichao, QI Hao, ZENG Xiushu
    2018, 26(3): 655-662. DOI: 10.13544/j.cnki.jeg.2017-133
    Abstract PDF
    SENSITIVITY ANALYSIS ON CAUSATIVE FACTORS OF GEOHAZARDS IN EASTERN MARGIN OF TIBETAN PLATEAU
    YANG Zhihua, ZHANG Yongshuang, GUO Changbao, YAO Xin
    2018, 26(3): 673-683. DOI: 10.13544/j.cnki.jeg.2017-165
    Abstract PDF
    STUDY ON MECHANICAL RESPONSE AND FAILURE MECHANISM OF EXCAVATION UNLOADING IN LOESS SLOPE
    ZHANG Zidong, PEI Xiangjun, ZHANG Xiaochao, ZHANG Shuo, YUAN Guang, SHI Weixiong
    2018, 26(3): 684-693. DOI: 10.13544/j.cnki.jeg.2017-168
    Abstract PDF
    PHYSICAL SIMULATION MODELING FOR STABILITY ANALYSIS OF RESERVOIR LANDSLIDE IN GENTLY UNDERDIP SLOPES:A CASE STUDY OF XIANGJIAPING LANDSLIDE
    DU Feng, XU Mo, XIAO Xianxuan, NING Na
    2018, 26(3): 694-702. DOI: 10.13544/j.cnki.jeg.2017-175
    Abstract PDF
    REAL-TIME EARLY WARNING TECHNOLOGY OF DEBRIS FLOW BASED ON AUTOMATIC IDENTIFICATION OF RAINFALL PROCESS
    HE Chaoyang, XU Qiang, JU Nengpan, HUANG Jian, XIAO Yang
    2018, 26(3): 703-710. DOI: 10.13544/j.cnki.jeg.2017-189
    Abstract PDF
    RISK ASSESSMENT OF GEOLOGICAL HAZARDS IN SUIDE CITY, SHAANXI PROVINCE
    XUE Qiang, ZHANG Maosheng, GAO Bo, ZHANG Jianlong
    2018, 26(3): 711-719. DOI: 10.13544/j.cnki.jeg.2017-205
    Abstract PDF
    STUDY ON SPATIAL DISTRIBUTION OF GEOLOGICAL DISASTERS IN MIDDLE PART OF AILAO MOUNTAIN:A CASE OF YUANJIANG COUNTY
    ZHANG Jie, KANG Xiaobo, LU Hui, ZHAO Li, LI Shikai, WANG Bo, SUN Zaibo
    2018, 26(3): 720-731. DOI: 10.13544/j.cnki.jeg.2017-235
    Abstract PDF
    MODEL EXPERIMENT STUDY ON EROSION OF LOESS SLOPE DUE TO RAINFALL
    DU Tingting, LI Zhiqing, WANG Xiaoming, BAI Yawei, QIN Daotian, CHEN Wu, WANG Haosen
    2018, 26(3): 732-740. DOI: 10.13544/j.cnki.jeg.2017-252
    Abstract PDF
    INVESTIGATION FOR WATER AND SALT MIGRATIONS ON SPALLING DISEASE OF LOESS SLOPE CAUSED BY SALIFICATION EROSION
    XU Jian, ZHENG Xiang, WANG Zhangquan
    2018, 26(3): 741-748. DOI: 10.13544/j.cnki.jeg.2017-279
    Abstract PDF
    MODEL TEST STUDY ON TOPPLING DEFORMATION EVOLUTION PROCESS OF COUNTER-TILT SLOPE
    ZHAO Hua, LI Wenlong, WEI Junjie, PANG Bo
    2018, 26(3): 749-757. DOI: 10.13544/j.cnki.jeg.2017-322
    Abstract PDF
    QUANTITATIVE ANALYSIS FOR NANOPORE STRUCTURE CHARACTERISTICS OF SHALES USING NMR AND NMR CRYOPOROMETRY
    LI Zhiqing, SUN Yang, HU Ruilin, ZHAO Ying, PENG Yu
    2018, 26(3): 758-766. DOI: 10.13544/j.cnki.jeg.2017-126
    Abstract PDF
    NUMERICAL SIMULATION OF THE FORMATION OF SHALLOW GAS SPILLING IN SANDS
    CHENG Rongpeng, LAI Xianghua, WEI Yanji, HU Taojun, HUANG Panyang
    2018, 26(3): 767-775. DOI: 10.13544/j.cnki.jeg.2017-204
    Abstract PDF
    ADVANCE OF FRP ANCHOR BOLTS IN GEOTECHNICAL ANCHORING
    WANG Yang, FENG Jun, LI Jiayao, LAI Bing, YANG Tao
    2018, 26(3): 776-784. DOI: 10.13544/j.cnki.jeg.2017-139
    Abstract PDF
    THREE DIMENSIONAL NUMERICAL ANALYSIS OF DYNAMIC RESPONSE OF UNDERGROUND UTILITY TUNNELS DURING EARTHQUAKE
    SHI Youzhi, HUA Jianbing, RUAN Jiancou, LIN Shuzhi
    2018, 26(3): 785-793. DOI: 10.13544/j.cnki.jeg.2017-163
    Abstract PDF
    SPATIAL INTERPOLATION ANALYSIS OF COASTAL FOUNDATION SOIL
    LIU Xiaolei, ZHAO Zhifeng, ZHOU Yuming, GUO Jinjing, WEN Weiguang, WANG Hui
    2018, 26(3): 794-801. DOI: 10.13544/j.cnki.jeg.2017-191
    Abstract PDF
    DTS TECHNOLOGY FOR THERMAL CONDUCTIVITY OF GROUND IN HEZE, SHANGDONG PROVINCE
    HAINAR·Bektursen, SHI Bin, WU Xiaohua, JIA Chen, CAO Dingfeng, WEI Guangqing
    2018, 26(3): 802-809. DOI: 10.13544/j.cnki.jeg.2017-228
    Abstract PDF
    DYNAMIC TRIAXIAL TESTS FOR RESPONSE CHARACTERISTICS AND INTENSITY WEAKENING LAW OF OLD CLAY IN PENGHU BAY AREA OF WUHAN
    GUO Jinxue, WU Yiping, WANG Fei, ZHANG Longfei, YANG Hongwei
    2018, 26(3): 810-816. DOI: 10.13544/j.cnki.jeg.2017-270
    Abstract PDF
    MULTI-JOINT WATER CURTAIN BOREHOLE TEST METHOD AND APPLICATION CASE
    YANG Rong, HU Cheng, CHEN Gang, LI Zhaohong
    2018, 26(3): 817-824. DOI: 10.13544/j.cnki.jeg.2017-293
    Abstract PDF
    FORMING MECHANISM AND MOTION CHARACTERISTICS OF THE "3·8"JIANGLIU LOESS LANDSLIDE IN JINGYANG COUNTY OF SHANXI PROVINCE
    2018, 26(3): 663-672. DOI: 10.13544/j.cnki.jeg.2017-142
    Abstract PDF