column
    SOME THOUGHTS ON BASIC RESEARCH OF RED BEDS DISASTER
    ZHOU Cuiying, LIU Zhen, XUE Yiguo, LI Yanrong, FAN Xuanmei, CHEN Weizhong, SUN Ping
    2023, 31(3): 689-705. DOI: 10.13544/j.cnki.jeg.2022-0842
    Abstract PDF
    LANDSLIDE COLLABORATIVE OBSERVATION TECHNOLOGY BASED ON REAL SCENE 3D VIEW FROM SPACE-AIR-GROUND-INTERIOR PERSPECTIVE
    XU Qiang, DONG Xiujun, ZHU Xing, DENG Bo, DAI Keren
    2023, 31(3): 706-717. DOI: 10.13544/j.cnki.jeg.2023-0005
    Abstract PDF
    DISTRIBUTION AND HAZARD ASSESSMENT OF COLLAPSES AND LANDSLIDES IN SICHUAN-TIBET TRAFFIC CORRIDOR
    LU Xiao, QI Shengwen, ZHENG Bowen, GUO Xinyi, LI Yongchao, GUO Songfeng, ZOU Yu, TANG Fengjiao, YAO Xianglong, SONG Shuaihua, MA Lina, ZHANG Linxin, LIU Fangcui, LUO Guangming, LIANG Ning, TAI Daping
    2023, 31(3): 718-735. DOI: 10.13544/j.cnki.jeg.2023-0085
    Abstract PDF
    STRESS FIELD AND POTENTIAL UNDERGROUND GEOHAZARDS IN EASTERN MARGIN OF QINGHAI-TIBET PLATEAU
    LI Jinxuan, GUO Songfeng, QI Shengwen, ZHANG Yaguo, ZHENG Bowen, TANG Fengjiao, MA Xingdong, ZHANG Shishu
    2023, 31(3): 736-749. DOI: 10.13544/j.cnki.jeg.2023-0112
    Abstract PDF
    DEVELOPMENT AND DISTRIBUTION CHARACTERISTICS OF COMPRESSIONAL FRACTURE ZONE IN DAM SITE AREA OF YEBATAN HYDROPOWER STATION
    ZHAO Qihua, PENG Yi, PENG Sheqin, HAN Gang
    2023, 31(3): 750-761. DOI: 10.13544/j.cnki.jeg.2022-0193
    Abstract PDF
    AN OVERVIEW OF LANDSLIDE-INDUCED DEBRIS FLOW
    GUO Jian, CUI Yifei
    2023, 31(3): 762-779. DOI: 10.13544/j.cnki.jeg.2022-0771
    Abstract PDF
    EARLY GEOHAZARD DETECTION IN COLD MOUNTAIN REGION BASED ON INSAR TECHNOLOGY WITH SEASON PARTITION-EXAMPLE OF EASTERN HIMALAYAN SYNTAXIS REGION
    LI Haoliang, YANG Yinghui, XU Qiang, SONG Jiawei, LI Pengfei, CHEN Qiang, YAO Zhibo
    2023, 31(3): 780-795. DOI: 10.13544/j.cnki.jeg.2022-0556
    Abstract PDF
    A REVIEW OF FORMING MECHANISMS AND INHOMOGENEOUS MECHANICAL PROPERTIES OF MÉLANGE
    ZHAO Zixin, WANG Fawu, ZHU Guolong, PENG Xingliang
    2023, 31(3): 796-814. DOI: 10.13544/j.cnki.jeg.2022-0784
    Abstract PDF
    REVIEW ON FRAGMENTATION-RELATED DYNAMICS OF ROCK AVALANCHES
    LIN Qiwen, CHENG Qiangong, LI Kun, WANG Yufeng, LIU Shitao
    2023, 31(3): 815-829. DOI: 10.13544/j.cnki.jeg.2021-0035
    Abstract PDF
    COMPREHENSIVE JUDGMENT METHOD OF ROCK STABILITY SURROUNDING DRILLING AND BLASTING TUNNEL WITH MICROSEISMIC MONITORING
    ZENG Jun, MA Chunchi, FAN Junqi, SHI Xiaoyan, MA Zhiguo
    2023, 31(3): 830-842. DOI: 10.13544/j.cnki.jeg.2021-0590
    Abstract PDF
    EXPERIMENTAL STUDY ON DAMAGE AND FAILURE ENERGY EVOLUTION OF BRITTLE ROCKS UNDER UNIAXIAL COMPRESSION
    LIU Dongqiao, GUO Yunpeng, LI Jieyu, LING Kai, GE Jiacheng
    2023, 31(3): 843-853. DOI: 10.13544/j.cnki.jeg.2022-0799
    Abstract PDF
    INFLUENCE MECHANISM OF IN-SITU STRESS STATE ON ROCK BURST PRONENESS OF DEEP-BURIED-CURVED TUNNEL IN QINGHAI-TIBET PLATEAU AND ITS ADJACENT REGION
    WANG Huiqing, TAN Chengxuan, FENG Chengjun, ZHANG Peng, QI Bangshen, XIAO Ruihua, LIU Yanhui, CHEN Chunli, FANG Zhiwei, SU Yongchao, LIANG Hongkun, WANG Jiming
    2023, 31(3): 854-867. DOI: 10.13544/j.cnki.jeg.2021-0818
    Abstract PDF
    INFERRING LANDSLIDE DEPTH BASED ON ASCENDING AND DESCENDING INSAR DEFORMATIONS-EXAMPLE OF TAOPING VILLAGE ANCIENT LANDSLIDE
    Yang Chao, Yang Yinghui, Wang Jiyan, XU Qiang, CHEN Qiang, TAO Xinxin, HU Jyr-Ching
    2023, 31(3): 868-879. DOI: 10.13544/j.cnki.jeg.2021-0172
    Abstract PDF
    ADVANCES IN HYDRO-MECHANICAL ANISOTROPY OF COLUMNAR JOINTED ROCK MASSES
    XIAO Weimin, HAN Juncheng, TIAN Mengting
    2023, 31(3): 880-892. DOI: 10.13544/j.cnki.jeg.2021-0203
    Abstract PDF
    NONLINEAR VERTICAL VELOCITY DISTRIBUTION OF DEBRIS FLOWS USING FLUID-PARTICLE HIERARCHICAL STATISTICAL ALGORITHM
    Han Zheng, Zeng Chuicheng, Li Yange, CHEN Guangqi, CHEN Ningsheng, HU Guisheng, XU Linrong
    2023, 31(3): 893-904. DOI: 10.13544/j.cnki.jeg.2021-0545
    Abstract PDF
    RESEARCH PROGRESSES ON LANDSLIDE DISASTER PATTERNS AND THEIR RESPONSE TO GEOMORPHIC EVOLUTION IN MEIGU RIVER BASIN
    YIN Zhiqiang, PANG Mingfei, DING Yi, CHEN Liang
    2023, 31(3): 905-915. DOI: 10.13544/j.cnki.jeg.2022-0732
    Abstract PDF
    BIDIRECTIONAL ADJUSTABLE ANCHOR CABLE BASED ON YIELD DEVICE AND DISC SPRING
    YANG Dong, WANG Quancheng, JIANG Zhaoqun
    2023, 31(3): 916-923. DOI: 10.13544/j.cnki.jeg.2021-0356
    Abstract PDF
    STUDY ON ROCK SIMILAR MATERIAL CHARACTERISTICS OF ROCK AVALANCHE
    JI Yandong, LIN Qiwen, WANG Yufeng, CHENG Qiangong, REN Zhanqiang, YAO Zhiyong, SUN Xianfeng
    2023, 31(3): 924-931. DOI: 10.13544/j.cnki.jeg.2021-0281
    Abstract PDF
    MORPHOLOGICAL STRUCTURE AND FAILURE MECHANISM OF SHIDAGUAN TOPPLING BODY IN MAOXIAN BASED ON MULTI-SOURCE DATE
    HE Shuang, CUI Shenghua, PEI Xiangjun, ZHU Ling, MENG Minghui, FENG Xiaoming, JIANG Yao, ZHANG Fanyu
    2023, 31(3): 932-948. DOI: 10.13544/j.cnki.jeg.2021-0005
    Abstract PDF
    PREDICTION OF SLOPE DISPLACEMENT BASED ON PSO-SVR-NGM COMBINED WITH ENTROPY WEIGHT METHOD
    LI Qingwen, PEI Huafu, SONG Huaibo, ZHU Honghu
    2023, 31(3): 949-958. DOI: 10.13544/j.cnki.jeg.2021-0036
    Abstract PDF
    FAST MODELING METHOD OF MULTI-ATTRIBUTE 3D GEOLOGICAL MODEL AND APPLICATION IN HIGH GEOSTRESS TUNNEL
    CHENG Xiwen, LI Tianbin, MA Chunchi, HAN Yuxuan, ZENG Peng, HUANG Jiefang, DENG Ke, ZHANG Yuxuan
    2023, 31(3): 959-967. DOI: 10.13544/j.cnki.jeg.2021-0038
    Abstract PDF
    STUDY ON MESO-MECHANISM OF CRACK COALESCENCE IN SPECIMENS CONTAINING DOUBLE PRE-EXISTING FLAWS
    ZHANG Han, ZHANG Xiaoping, ZHANG Qi, WU Shunchuan
    2023, 31(3): 968-980. DOI: 10.13544/j.cnki.jeg.2021-0071
    Abstract PDF
    CHARACTERISTICS AND GEOLOGICAL HAZARDS OF MELANGE BELTS IN QINGHAI-TIBET PLATEAU
    ZHANG Yanfeng, GAO Yang, LI Bin, ZHU Sainan
    2023, 31(3): 981-998. DOI: 10.13544/j.cnki.jeg.2022-0364
    Abstract PDF
    THE STATE-OF-ART AND FUTURE DEVELOPMNET OF FRICTION HEATING INDUCDED WEAKENING MECHANISMS OF ROCK AVALANCHES
    FENG Zhiyi, CHENG Qiangong, WANG Yufeng, LIN Qiwen
    2023, 31(3): 999-1017. DOI: 10.13544/j.cnki.jeg.2023-0117
    Abstract PDF
    PORE STRUCTURE CHARACTERISTICS OF MACHALA COAL STRATA IN TIBET
    DING Rui, SUN Qiang, XIN Yuan, QIAO Junwei, DU Fangpeng
    2023, 31(3): 1018-1026. DOI: 10.13544/j.cnki.jeg.2023-0109
    Abstract PDF
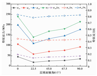
    INFLUENCE OF BEDDING EFFECT ON MECHANICAL CHARACTERISTICS AND ENERGY DISSIPATION IN TRIAXIAL LOADING PROCESS OF BLACK SHALE
    LUO Bo, ZHU Baolong, LIU Junxin, CHEN Qiang
    2023, 31(3): 1027-1037. DOI: 10.13544/j.cnki.jeg.2021-0032
    Abstract PDF
    INVESTIGATION ON THE GEOMECHANICAL CHARACTERISTICS AND THE HYDRAULIC FRACTURING PROCESSES OF THE LUCAOGOU SHALE OIL RESERVOIRS
    SONG Siyu, XU Dongsheng, LI Yingyan, YU Juan, HU Yanzhi, ZHENG Bo, LI Xiao, LI Shouding
    2023, 31(3): 1038-1048. DOI: 10.13544/j.cnki.jeg.2023-0254
    Abstract PDF
    TRIAXIAL TEST STUDY ON REINFORCED CALCAREOUS SAND
    ZENG Kaifeng, ZENG Fanxiang, LIU Huabei
    2023, 31(3): 1049-1058. DOI: 10.13544/j.cnki.jeg.2021-0102
    Abstract PDF
    MECHANICAL DEFORMATION CHARACTERISTICS AND CONSTITUTIVE MODEL OF FIBER YARN REINFORCED LOESS
    CHU Feng, SHAO Shengjun, CHEN Cunli, DENG Guohua
    2023, 31(3): 1059-1072. DOI: 10.13544/j.cnki.jeg.2021-0152
    Abstract PDF
    COMPARATIVE ANALYSIS OF DIFFERENT MEASURING METHODS OF LOESS MOISTURE CONTENT BASED ON AHFO-FBG METHOD
    CHENG Wei, SUN Mengya, XU Hongbing, SHI Bin, GUO Junyi, LIU Jie
    2023, 31(3): 1073-1083. DOI: 10.13544/j.cnki.jeg.2021-0037
    Abstract PDF
    RESEARCH ON OPTIMIZATION OF CO2 INJECTION SCHEME UNDER THM COUPLINGS IN CO2 GEOLOGICAL STORAGE
    GONG Geng, LI Yi, TANG Dong, YU Hao, JIANG Zhongming
    2023, 31(3): 1084-1096. DOI: 10.13544/j.cnki.jeg.2021-0034
    Abstract PDF
    APPLICATION OF PREDICTION MODEL FOR LAND SUBSIDENCE POTENTIAL BASED ON DFOS MONITORING
    LIANG Yu, GU Kai, SHI Bin, LIU Suping
    2023, 31(3): 1097-1104. DOI: 10.13544/j.cnki.jeg.2021-0029
    Abstract PDF
    GEOLOGICAL OCCURRENCE CHARACTERISTICS AND ENGINEERING HAZARDS OF ULTRA SHALLOW-BURIED GASES IN NINGMING BASIN
    ZHANG Fan, JIA Pengfei, WANG Yong, CHEN Kaiwen
    2023, 31(3): 1105-1115. DOI: 10.13544/j.cnki.jeg.2021-0076
    Abstract PDF
    ROOF-RIPPING CONSTRUCTION TECHNOLOGY FOR LARGE CROSS-SECTIONAL TUNNEL IN SOFT AND WATER-RICH STRATUM
    DU Chuanqiu, LI Xinfang, ZHANG Bo, CHEN Qian, ZHANG Xiaoping
    2023, 31(3): 1116-1123. DOI: 10.13544/j.cnki.jeg.2022-0293
    Abstract PDF