column
    Prof. Zhang Xiangong-A master in engineering geology of China
    Organization Committee of 100th Anniversary of Prof. Zhang Xiangong
    2019, 27(2): 219-229. DOI: 10.13544/j.cnki.jeg.2019-140
    Abstract PDF
    EXPERIMENTAL STUDY ON DETERIORATION OF PHYLLITE FROM SLOPE SURFACE UNDER CONDITIONS OF DIFFREENT DRY-WET CYCLES
    CUI Kai, WANG Pei, CHEN Wenwu, WU Guopeng
    2019, 27(2): 230-238. DOI: 10.13544/j.cnki.jeg.2018-020
    Abstract PDF
    SIMULATION OF FRACTURE PROPAGATION DURING CARBON DIOXIDE INJECTION INTO SANDSTONE LENS
    YU Hui, WANG Xin, CUI Zhendong, HAN Weige, ZHANG Jianyong, WANG Yizhao
    2019, 27(2): 239-249. DOI: 10.13544/j.cnki.jeg.2018-001
    Abstract PDF
    COMPREHENSIVE ADVANCED GEOLOGICAL PREDICTION METHODS FOR TUNNEL CONSTRUCTION WITH DOUBLE SHEILD TBM
    YANG Jihua, YAN Changbin, MIAO Dong, WANG Yao
    2019, 27(2): 250-259. DOI: 10.13544/j.cnki.jeg.2018-044
    Abstract PDF
    OPTICAL FIBER MONITORING TECHNOLOGY FOR EVOLUTION CHARACTERISTIC OF ROCK STRATUM DEFORMATION AND FAILURE IN SPACE OF MINING FIELD
    ZHANG Pingsong, ZHANG Dan, SUN Binyang, SHI Bin, XU Shiang
    2019, 27(2): 260-266. DOI: 10.13544/j.cnki.jeg.2018-070
    Abstract PDF
    WATER-SEALED RELIABILITY OF VERTICAL WATER CURTAIN SYSTEM IN UNDERGROUND OIL STORAGE CAVERN IN ISLAND ENVIRONMENT
    LI Yutao, ZHANG Bin, SHI Lei, PENG Zhenhua, LI Junyan
    2019, 27(2): 267-276. DOI: 10.13544/j.cnki.jeg.2018-069
    Abstract PDF
    A COMPARISON STUDY ON EXCAVATION SEQUENCE OF UNSYMMETRICAL LOADING TUNNEL IN WEAK SURROUNDING ROCK
    HUANG Weixin, WU Han, WANG Jie, XIA Ming
    2019, 27(2): 277-285. DOI: 10.13544/j.cnki.jeg.2017-503
    Abstract PDF
    MODEL EXPERIMENTAL STUDY OF ROCK SOCKETED PILE IN SLOPE STRATA SUBJECTED TO HORIZONTAL LOADING
    ZHANG Chenghao, ZHAO Qihua, LOU Chen, MU Honghai
    2019, 27(2): 286-293. DOI: 10.13544/j.cnki.jeg.2017-620
    Abstract PDF
    FORMATION OF SURFACE CRACK OF HORNITO AT WUDALIANCHI VOLCANO, HEILONGJIANG PROVINCE, CHINA
    MA Zhengjing, ZHANG Zhongjian, ZHAN Tao, YANG Ye, XU Jiamo, LI Lihui, LI E
    2019, 27(2): 294-301. DOI: 10.13544/j.cnki.jeg.2017-628
    Abstract PDF
    NUMERICAL ANALYSIS FOR DIRECT SHEAR TEST OF BOLTED JOINT BASED ON PARTICLE FLOW CODE
    HE Dongliang, YANG Weijun, LIN Hang, CAO Rihong, CHENG Yanhui
    2019, 27(2): 302-310. DOI: 10.13544/j.cnki.jeg.2017-564
    Abstract PDF
    UNIAXIAL COMPRESSION TESTS OF BIAXIAL GEOGRID-ENCASED STONE COLUMNS
    CHEN Jianfeng, MEI Sen, FENG Shouzhong
    2019, 27(2): 311-316. DOI: 10.13544/j.cnki.jeg.2018-250
    Abstract PDF
    SHEAR STRENGTH AND MACRO-MICRO ANALYSIS OF COPPER TAILINGS AND TUNGSTEN TAILINGS
    LIN Hai, ZHOU Chuangbing, CHEN Fei, JIANG Qinghui
    2019, 27(2): 317-324. DOI: 10.13544/j.cnki.jeg.2017-576
    Abstract PDF
    PERMEABILITY AND PARAMETERS OF LANDSLIDE BODIES IN THREE GORGES RESERVOIR AREA
    TANG Minggao, YANG He, XU Qiang, FU Xiaolin, ZHU Quan, MA Xinjian
    2019, 27(2): 325-332. DOI: 10.13544/j.cnki.jeg.2018-011
    Abstract PDF
    STUDY ON CORRELATIONS OF PHYSICAL AND MECHANICAL PROPERTY INDEXES OF YANGZHOU CLAYS
    LI Xuchang, SUN De'an, XU Yongfu
    2019, 27(2): 333-340. DOI: 10.13544/j.cnki.jeg.2017-486
    Abstract PDF
    EXPERIMENTAL STUDY ON CHARACTERISTIC STRENGTH CHARACTERISTICS OF SLIP ZONE OF THE GIANT CREEP LANDSLIDE
    CAO Shichao, HUANG Zhiquan, WU Qi, YAN Yajing, GUO Jiapeng, WU Jiaqi
    2019, 27(2): 341-349. DOI: 10.13544/j.cnki.jeg.2018-134
    Abstract PDF
    EXPERIMENTAL STUDY ON TENSILE STRENGTH OF POLYMER CURING AGENT/FIBER MODIFIED SAND
    CHEN Zhihao, LIU Jin, QIAN Wei, WANG Yong, SUN Shaorui, FENG Jiaxin, LI Ding, XIU Yuqing
    2019, 27(2): 350-359. DOI: 10.13544/j.cnki.jeg.2018-017
    Abstract PDF
    DISTRIBUTION CHARACTERISTICS AND TRANSPORT LAW OF RED MUD PARTICLES IN ZHATANG RED MUD POND
    CHU Xuewei, XU Mo, DUAN Xianqian, WANG Zhongmei
    2019, 27(2): 360-366. DOI: 10.13544/j.cnki.jeg.2018-083
    Abstract PDF
    DISPLACEMENT PREDICTION OF FILLING ROAD BED SLOPE SURFACE BASED ON DYNAMIC SPATIAL PANELS MODEL
    GE Qi, WANG Dongfei, SUN Hongyue, SHUAI Feixiang, CHEN Zhongxuan, XU Haodi
    2019, 27(2): 367-375. DOI: 10.13544/j.cnki.jeg.2018-078
    Abstract PDF
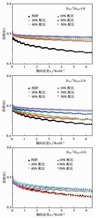
    EFFECT OF PARTICLE SIZE RATIO AND MIX RATIO ON MECHANICAL BEHAVIOR OF RUBBER-SAND MIXTURES
    LIU Fangcheng, WU Mengtao, WANG Haidong
    2019, 27(2): 376-389. DOI: 10.13544/j.cnki.jeg.2017-612
    Abstract PDF
    CONSOLIDATION CHARACTERISTICS OF DRAINAGE WELL FOUNDATION IN UNSATURATED SOILS WITH SEMI-PERMEABLE BOUNDARY
    QIN Aifang, LI Tianyi, PEI Yangcongqi, FU Xianlei
    2019, 27(2): 390-397. DOI: 10.13544/j.cnki.jeg.2017-534
    Abstract PDF
    DEFORMATION CHARACTERISTICS AND INFLUENCE FACTORS OF THE CIRCULAR GEOSYNTHETICS-REINFORCED PROTECTION WALLS LOCATED AROUND OIL TANK
    WANG Feng, XIAO Yongjie, CHEN Fuquan, WANG Dapeng
    2019, 27(2): 398-407. DOI: 10.13544/j.cnki.jeg.2017-495
    Abstract PDF
    SEISMIC STABILITY OF SUBMARINE CLAY SLOPES BASED ON UPPER BOUND APPROACH
    HUO Yandong, NIAN Tingkai, JIAO Houbin, ZHENG Defeng, YIN Ping
    2019, 27(2): 408-414. DOI: 10.13544/j.cnki.jeg.2017-621
    Abstract PDF
    A PRELIMINARY ANALYSIS OF THE FORMATION MECHANISM AND DEVELOPMENT TENDENCY OF THE HUGE BAIGE LANDSLIDE IN JINSHA RIVER ON OCTOBER 11, 2018
    FENG Wenkai, ZHANG Guoqiang, BAI Huilin, ZHOU Yulong, XU Qiang, ZHENG Guang
    2019, 27(2): 415-425. DOI: 10.13544/j.cnki.jeg.2018-392
    Abstract PDF
    EXPERIMENTAL STUDY ON DEFORMATION AND FAILURE MECHANISM OF FILL EMBANKMENT SLOPE DUE TO ENGINEERING LOAD
    ZHAO Jianjun, XIE Mingli, YU Jianle, CHAI Hejun, LI Tao, ZHAO Weihua
    2019, 27(2): 426-436. DOI: 10.13544/j.cnki.jeg.2017-368
    Abstract PDF
    GEOLOGICAL FEATURES AND CAUSES OF THE WENCHUAN EARTHQUAKE TRIGGERED LARGE LANDSLIDES ON RIGHT BANK OF HUANGDONGZI GULLY
    CUI Shenghua, PEI Xiangjun, HUANG Runqiu, ZHU Ling, MENG Xiangrui
    2019, 27(2): 437-450. DOI: 10.13544/j.cnki.jeg.2017-179
    Abstract PDF
    RELIABILITY EVALUATION OF SLOPE STABILITY BASED ON UPPER BOUND ANALYSIS
    SU Yonghua, LI Shuai, FANG Yanbing, SU Ya
    2019, 27(2): 451-458. DOI: 10.13544/j.cnki.jeg.2017-339
    Abstract PDF
    LANDSLIDE DISPLACEMENT PREDICTION BASED ON MULTIPLE DATA-DRIVEN MODEL METHODS
    YAN Hao, LI Shaohong, WU Lizhou
    2019, 27(2): 459-465. DOI: 10.13544/j.cnki.jeg.2017-485
    Abstract PDF
    STUDY ON FIELD TEST OF LOESS SLOPE UNDER THE ARTIFICIAL RAINFALL CONDITION
    SUN Ping, WANG Gang, LI Rongjian, ZHANG Zhen, HUO Xuting, LI Zhenfei, ZHU Enzhen
    2019, 27(2): 466-476. DOI: 10.13544/j.cnki.jeg.2018-031
    Abstract PDF