栏目
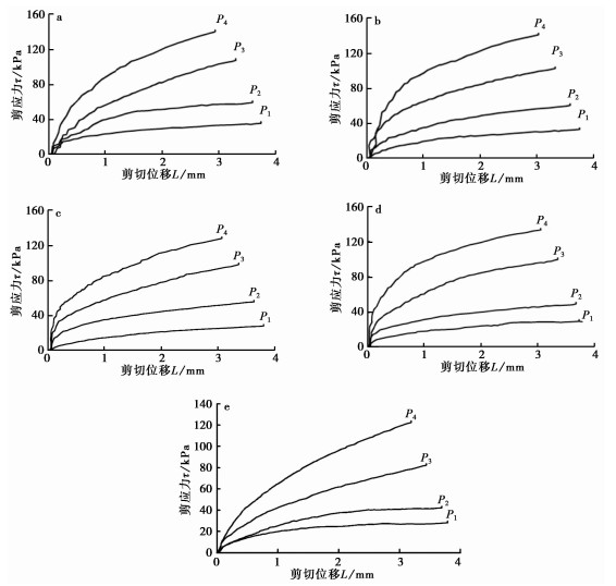
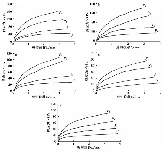
    西宁盆地黄土区边坡土体含水量对植物根-土复合体抗剪强度影响的试验研究
    李姜瑶, 余冬梅, 张西营, 胡夏嵩, 刘亚斌, 周林虎, 李丹
    2022, 30(2): 281-292. DOI: 10.13544/j.cnki.jeg.2020-006
    摘要 HTML PDF
    MTS试验机岩石压缩试验变形测量数据的选取方法研究
    靳一鼎, 徐荣超, 李日运, 王四巍, 袁广祥, 李洪军
    2022, 30(2): 293-300. DOI: 10.13544/j.cnki.jeg.2020-007
    摘要 HTML PDF
    基于粒径分布曲线的非饱和砂土土水特征曲线概率预测模型
    张洁, 阳帅, 谭泽颖, 李旭
    2022, 30(2): 301-308. DOI: 10.13544/j.cnki.jeg.2020-179
    摘要 HTML PDF
    生活源污染质干湿循环下土体性质演化特征及机理
    郭玉良, 曹丽文, 蔡念
    2022, 30(2): 309-316. DOI: 10.13544/j.cnki.jeg.2020-240
    摘要 HTML PDF
    白色硅藻土微观结构特征定量研究
    罗易, 高磊, 高明军, 康银庚
    2022, 30(2): 317-326. DOI: 10.13544/j.cnki.jeg.2020-551
    摘要 HTML PDF
    碱激发材料固化低液限粉黏土路用性能及抗冻融特性研究
    陈锐, 郝若愚, 李笛, 包卫星, 来弘鹏
    2022, 30(2): 327-337. DOI: 10.13544/j.cnki.jeg.2021-0134
    摘要 HTML PDF
    化学溶液作用下基于压实膨润土孔隙结构演化的土水特征模型研究
    贺勇, 卢普怀, 滕继东, 叶为民
    2022, 30(2): 338-346. DOI: 10.13544/j.cnki.jeg.2021-0149
    摘要 HTML PDF
    黄土渗气系数原位测试原理方法及适用性试验研究
    任宏玉, 李喜安, 张玉涛, 李杰, 薛泉
    2022, 30(2): 347-356. DOI: 10.13544/j.cnki.jeg.2021-0271
    摘要 HTML PDF
    初始风积黄土结构演化的环境温度效应
    张伟伟, 李彦荣, 宫杨清, 王蓉
    2022, 30(2): 357-365. DOI: 10.13544/j.cnki.jeg.2021-0285
    摘要 HTML PDF
    有机质对软土次固结特性的影响机制研究
    贺建清, 王朦, 陈立国, 胡惠华, 陈秋南
    2022, 30(2): 366-373. DOI: 10.13544/j.cnki.jeg.2021-0288
    摘要 HTML PDF
    重复剪切作用下泥质充填结构面剪切力学特性试验研究
    李冠野, 邓华锋, 李建林, 徐鹏飞, 王文东, 冯云杰
    2022, 30(2): 374-382. DOI: 10.13544/j.cnki.jeg.2021-0440
    摘要 HTML PDF
    高寒矿区排土场植被恢复对边坡土体物理力学性质影响研究
    闫聪, 胡夏嵩, 李希来, 刘昌义, 卢海静, 付江涛, 许桐, 申紫雁
    2022, 30(2): 383-393. DOI: 10.13544/j.cnki.jeg.2021-0560
    摘要 HTML PDF
    基于电导性能的原状土柱降雨入渗规律研究
    林昀昭, 简文彬, 豆红强, 陈瑞敏, 聂闻
    2022, 30(2): 394-406. DOI: 10.13544/j.cnki.jeg.2021-0744
    摘要 HTML PDF
    梧州市巨厚层花岗岩风化壳垂直分带标准及工程地质特征研究
    齐信, 黎清华, 焦玉勇, 谭飞
    2022, 30(2): 407-416. DOI: 10.13544/j.cnki.jeg.2020-159
    摘要 HTML PDF
    基于时序InSAR和GPS技术的北京平原区地表三维形变场特征
    雷坤超, 马凤山, 陈蓓蓓, 罗勇, 崔文君, 刘贺, 田芳
    2022, 30(2): 417-431. DOI: 10.13544/j.cnki.jeg.2021-0077
    摘要 HTML PDF
    下穿填埋场隧道综合超前预报与防控措施研究
    赵勇, 张晓磊, 冯世进
    2022, 30(2): 432-441. DOI: 10.13544/j.cnki.jeg.2021-0217
    摘要 HTML PDF
    北京平原区现阶段主要沉降层位与土层变形特征
    雷坤超, 马凤山, 罗勇, 陈蓓蓓, 崔文君, 田芳, 沙特
    2022, 30(2): 442-458. DOI: 10.13544/j.cnki.jeg.2021-0238
    摘要 HTML PDF
    岩溶隧道涌突水破坏模式分类及防突厚度研究
    肖喜, 赵晓彦, 张巨峰, 肖勇, 莫培
    2022, 30(2): 459-474. DOI: 10.13544/j.cnki.jeg.2021-0247
    摘要 HTML PDF
    黄土十字交叉隧道开挖下支护结构变形特性研究
    杜广印, 武军, 夏涵, 王坤
    2022, 30(2): 475-483. DOI: 10.13544/j.cnki.jeg.2021-0376
    摘要 HTML PDF
    静压桩沉桩过程中贯入机理理论研究进展
    刘雪颖, 王永洪, 张明义, 白晓宇
    2022, 30(2): 484-495. DOI: 10.13544/j.cnki.jeg.2020-017
    摘要 HTML PDF
    砂土地基中矩形沟槽隔振效果影响区域的试验研究
    刘晶磊, 李凯, 王洋, 梅名彰
    2022, 30(2): 496-506. DOI: 10.13544/j.cnki.jeg.2020-231
    摘要 HTML PDF
    砂土场地国标与美标标准贯入试验能量分析及击数转换关系研究
    葛一荀, 张洁, 祝刘文, 程小久, 廖先斌, 汪华安, 孔明, 郑文棠, 王占华
    2022, 30(2): 507-519. DOI: 10.13544/j.cnki.jeg.2020-643
    摘要 HTML PDF
    基于PSO-MLSSVR的土体参数反演方法在深基坑工程中的应用
    程秋实, 杨志双, 秦胜伍, 张领帅, 苗强, 张延庆
    2022, 30(2): 520-532. DOI: 10.13544/j.cnki.jeg.2021-0143
    摘要 HTML PDF
    近水平岩层阶状斜坡地震动响应特征分析
    毕杨杨, 王运生, 苏毅, 王国康, 周粤, 向超
    2022, 30(2): 533-541. DOI: 10.13544/j.cnki.jeg.2020-550
    摘要 HTML PDF
    震裂山体崩塌形成特征及运动学三维模拟——以汶川县三官庙村崩塌为例
    黎尤, 何坤, 胡卸文, 刘波, 周瑞宸, 文强
    2022, 30(2): 542-552. DOI: 10.13544/j.cnki.jeg.2021-0014
    摘要 HTML PDF
    基于SBAS-InSAR的西安市鱼化寨地区地面沉降与地裂缝时空演变特征研究
    孙月敏, 杨天亮, 卢全中, 刘聪, 占洁伟
    2022, 30(2): 553-564. DOI: 10.13544/j.cnki.jeg.2021-0020
    摘要 HTML PDF
    地震动加速度幅值对土坡失稳后滑坡体大小及致灾范围的影响
    张卫杰, 余瑞华, 宋健, 姬建
    2022, 30(2): 565-574. DOI: 10.13544/j.cnki.jeg.2021-0420
    摘要 HTML PDF
    基于时间序列与混合核函数SA-SVR的滑坡位移预测模型研究
    尚敏, 熊德兵, 张惠强, 赵国飞
    2022, 30(2): 575-588. DOI: 10.13544/j.cnki.jeg.2021-0584
    摘要 HTML PDF
    崩塌落石冲击埋地油气管道的动力响应机理研究
    方迎潮, 汤明高, 葛华, 朱治儒, 黄海滨
    2022, 30(2): 589-598. DOI: 10.13544/j.cnki.jeg.2021-0603
    摘要 HTML PDF